F1.0 렌즈가 풀 컬러 야간 감시의 비결인 이유 | 상하이 실크 옵티컬

2026-03-24 - 나에게 메시지를 남겨주세요

빛의 수학: F1.0이 어린 단계가 아닌 거대한 도약인 이유

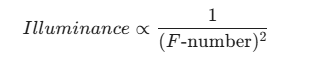
보안 장비를 구매하거나 제작할 때 F2.0 렌즈와 F1.0 렌즈를 보고 생각하기 쉽습니다."그냥 1.0 차이일 뿐이죠?"잘못된. 광학계에서 f값은 선형적으로 확장되지 않습니다. f값(또는 초점 비율)은 렌즈의 초점 거리와 입사 동공의 직경의 비율입니다. 렌즈의 집광력(조도) 공식에 따르면 센서에 닿는 빛의 양은 f값의 제곱에 반비례합니다.

따라서 F2.0 렌즈를 F1.0 렌즈와 비교하면 광흡수량의 차이 계산은 다음과 같습니다.

F1.0 렌즈는 F2.0 렌즈보다 두 ​​배의 빛을 제공하지 않습니다. 정확히 4배의 빛을 제공합니다.양동이에 비를 담으려고 한다고 상상해 보세요. F1.0으로 업그레이드하는 것은 표준 버킷을 어린이 수영장으로 바꾸는 것과 같습니다. 가로등, 달 또는 멀리 있는 건물에서 나오는 주변 광자 양의 4배를 최신 Starlight 수준 센서에 집중시키면 카메라의 이미지 신호 프로세서(ISP)가 게인을 인위적으로 높일 필요가 없습니다.
  • 낮은 이득 = 낮은 잡음:성가신 디지털 "눈" 없이 깨끗하고 선명한 이미지를 얻을 수 있습니다.

  • 하이라이트 = 풀 컬러:센서는 한밤중에도 색상을 정확하게 렌더링할 수 있을 만큼 충분한 파장 데이터를 수신합니다.

주의점: 단순히 "F1.0" 렌즈를 만들 수 없는 이유

F1.0이 그렇게 훌륭하다면 왜 모든 카메라에 F1.0이 탑재되지 않는 걸까요? 그 많은 빛을 정확하게 구부리는 것은 엄청나게 어렵기 때문입니다.

조리개를 너무 크게 열면 광학적 혼란이 발생합니다. 렌즈 가장자리에 닿는 광선이 색수차(보라색 줄무늬)와 이미지 모서리에 심각한 흐림을 유발합니다. F1.0 조리개를 제어하려면 렌즈의 내부 구조를 완벽하게 설계해야 합니다.

이것이 값싼 플라스틱 렌즈와 전문가급 유리의 구별이 중요한 부분입니다.

PL100을 만나보세요: 7E 구조의 힘

Shanghai Silk Optical Technology Co., Ltd.에서 우리는PL100 렌즈특히 고급 보안 및 로봇 공학 애플리케이션에 대한 F1.0 엔지니어링 과제를 해결하기 위해 만들어졌습니다.

1/2.7 센서에서 F1.0 조리개로 2MP-5MP 해상도를 달성하려면 높은 정밀도가 필요합니다. 표준 플라스틱 요소로는 이를 달성할 수 없습니다. PL100은 다음을 사용합니다.7E(7원소) 전체 유리 구조. 이것이 귀하의 수익에 중요한 이유는 다음과 같습니다.

  • 비교할 수 없는 투과율:유리는 플라스틱보다 더 많은 빛을 통과시킵니다. F1.0 렌즈의 전체 목표가 빛 흡수를 최대화하는 것인데 플라스틱 요소를 사용하면 그 목적이 무산됩니다. 7E 유리 구조는 캡처된 광자의 최대량을 실제로 센서에 전달하도록 보장합니다.

  • 최고의 열 안정성:보안 카메라는 야외에 있습니다. 여름에는 햇볕에 굽고 겨울에는 얼게 됩니다. 플라스틱 렌즈는 온도 변화에 따라 팽창 및 수축하여 초점이 약간 이동하고 완벽하게 선명한 카메라가 시간이 지남에 따라 흐려지게 만듭니다(열 드리프트라고 알려진 현상). 유리는 믿을 수 없을 정도로 안정적입니다. PL100의 7E 구조는 40°C에서든 -20°C에서든 4mm 초점 거리가 정확히 4mm로 유지되도록 보장합니다.

  • 가장자리까지의 선명도:89°의 넓은 수평 FOV를 통해 정확하게 정렬된 7개의 유리 요소는 대규모 F1.0 조리개로 인해 본질적으로 발생하는 광학 왜곡을 교정하여 영상의 가장자리를 중앙만큼 선명하게 유지합니다.

구매 관리자 및 엔지니어를 위한 평결

풀 컬러 야간 감시로 전환하는 것은 속임수가 아닙니다. 이는 보안 산업의 새로운 표준입니다. 그러나 값싸고 조리개가 좁은 렌즈 뒤에 고급 Starlight 센서를 얹는 것은 스포츠카 엔진을 골프 카트에 넣는 것과 같습니다.

"보조 조명 없이 색상"을 진정으로 구현하려면 전체 유리 구조의 열 안정성과 높은 투과율이 뒷받침되는 F1.0 조리개의 4배 집광 능력이 필요합니다.

(하드웨어 라인업을 업그레이드할 준비가 되셨나요?여기에서 PL100 및 기타 정밀 광학 렌즈의 전체 사양을 살펴보세요.)

문의 보내기

X
당사는 귀하에게 더 나은 탐색 경험을 제공하고, 사이트 트래픽을 분석하고, 콘텐츠를 개인화하기 위해 쿠키를 사용합니다. 이 사이트를 이용함으로써 귀하는 당사의 쿠키 사용에 동의하게 됩니다. 개인 정보 보호 정책
거부하다 수용하다